Does hydrogen bonding only occur between water molecules?
Is the dipole-dipole intermolecular interaction know as hydrogen bonding because it is between water molecules, or is called that because of the hydrogen molecules present in the bond?
Does hydrogen bonding only occur between water molecules?
Is the dipole-dipole intermolecular interaction know as hydrogen bonding because it is between water molecules, or is called that because of the hydrogen molecules present in the bond?
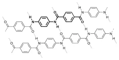
NO, Water is not only the example for hydrogen bonding. It's most common example for basics.
Hydrogen bonds occur in DNA, proteins, polymers, etc. But for introductory level it is easy to explain with water.
DNA: Hydrogen bonding between guanine and cytosine, one of two types of base pairs in DNA.

Polymer: Para-aramid structure

Images: Wikipedia