I don't think this is an either this or that situation. As with most of the equilibria we know it depends very much on the circumstances we look at it. Many examples of keto-enol-tautomerism are heavily influenced by the solvent. Due to time and resource restrictions I won't be able to go in as much detail as I did in explaining whether enolates get protonated at the carbon or oxygen atom, but I ran a few calculations showing some of the controversy.
The calculations were carried out using Gaussian 16 Rev. B.01 at the DF-B97D3(BJ)/def2-TZVPP level of theory, and thermal corrections were obtained from normal coordinate analysis (in the harmonic approximation) at the optimised structures at the same level of theory using $T=\pu{273.15 K}$ and $p=\pu{1 atm}$ (because that is the G16 standard, sorry for the non-SI). The polarisable continuum model was employed except for the gas phase. All energies are in $\pu{kJ mol^-1}$ for reaction \eqref{tauto}, which means that negative values indicate that 4-pyridinol is more stable than 4-pyridone and vice versa for positive values:*
$$\ce{4-pyridinol <=> 4-pyridone}\tag1\label{tauto}$$
\begin{array}{lrrr}
\text{solvent} & \Delta E_\mathrm{el} & \Delta E_\mathrm{o} & \Delta G \\
\hline
\text{gas} & -3.4 & -4.2 & -3.7 \\
\text{water} & 21.0 & 18.7 & 18.9 \\
\text{benzene} & 6.9 & 5.2 & 5.5 \\
\hline
\end{array}
From this we can imply (although there are too few points) that in condensed phase 4-pyridone is the predominant species, while in vacuum it would be 4-pyridinol. Unfortunately, at this time I cannot offer a satisfactory (and easy) explanation for this. The values above have not been calibrated, they are a mere snapshot. I don't want to wander deep into hand-wavy territory and propose a rule of thumb based on bond energies and/or similarities to other molecules.
It is probably true that water is able to stabilise a possible negative charge at the oxygen and at the same time stabilising the positive charge of the proton bonded to nitrogen, but that's about as much of an educated guess I would like to give up.
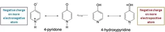
I want to caution everybody with expressions like the aromatic form when referring to a resonance contributor. Aromaticity is a concept which applies to a (sub-) structure and as such to all resonance contributors. This is why both tautomers are aromatic regardless of the depiction chosen.
In a similar way I want to caution against the argumentation with bond energies. Whenever resonance comes into play, we will have fractional bond orders, which deviate significantly from the conditions under which the tabulated values have been measured (or calculated).
The above notes apply directly to the two reasons your friend offers:
My friend gave two plausible reasons:
$\ce{C=O}$ is more stable than $\ce{C=N}.$
$\ce{-N=}$ will have greater repulsion between the lone-pair and the double bond than the same in $\ce{-O=}.$
There is neither an isolated $\ce{C=O}$, nor a $\ce{C=N}$ bond, as they are both part of the same π-system. The lone pairs cannot (directly) interfere with the π-system as they are orthogonal.
I wish I could offer you a better explanation, but with most chemistry there is nothing easy about simple systems.
Notes:
There is a more extensive theoretical study available, which compares THF, water, and methanol and focuses more on the solvent model. However, obtained values are in a similar region:
Nagy, P. I.; Alagona, G.; Ghio, C. Theoretical Investigation of Tautomeric Equilibria for Isonicotinic Acid, 4-Pyridone, and Acetylacetone in Vacuo and in Solution. J. Chem. Theory Comput. 2007, 3 (4), 1249–1266. DOI: 10.1021/ct6002252.
* For those unfamiliar with the notations: $\Delta E_\mathrm{el}$ refers to the electronic energy in the Born-Oppenheimer approximation; $\Delta E_\mathrm{o}$ refers to the observed energy, i.e. it is the former including the zero-point energy correction; $\Delta G$ refers to the Gibbs energy.