I am conducting an investigation into the effect of two different grass management techniques (grazing vs. machine-mowing) upon floral biodiversity.
I have collected my data and now need to process it in a way that will yield meaningful and valid results. My data is in the form of 25 samples per area with %-abundance measured for each species in a 0.25m2 quadrat.
I am currently using a non-standard diversity quantification technique, called Disney's index (which I have been led to believe is named eponymously after R.H.L Disney, however I am unable to find any references describing this), in which we assign each species a weight based on percentage abundance, as follows:

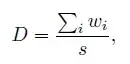
We then use these weights to calculate the index as follows (i.e. by computing the sum of the weights of the species, over the number of species):

I want to know if this is the best possible diversity index I could use for this type of analysis, or whether there are others which I should be considering.
Thanks in advance!