Celera 500L (see Otto Aviation site for more details) is a plane with a single propeller powered by a piston diesel engine. The constructor claims it is 8 times more fuel efficient than a jet of about the same size and capacity. How is this possible? Another question would be: Is this flying apparatus at least twice as efficient as the best piston engine plane of comparable characteristics?
Otto Aviation - Celera 500L - V12 turbo-diesel laminar flow plane
General characteristics
- Capacity: six passengers
- Powerplant: 1 × RED A03 diesel piston engine, 550 hp (410 kW) approximate at takeoff
Performance
- Cruise speed: 400 kn (460 mph, 740 km/h) estimated minimum
- Range: 4,500 nmi (5,200 mi, 8,300 km)
Claimed comparison between Celera 500L and a Jet
"[Celera 500L] is a six-person private craft that promises to fly at jet speeds, but with eight times lower fuel consumption, and a range that's twice that of a comparably sized craft."
"The company, founded in 2008 and an offshoot of Bill Otto's Otto Laboratories, says that the Celera 500L runs at 18 to 25 miles-per-gallon fuel economy (compared to the 2-3 miles-per-gallon of a comparable jet aircraft).
"Then there are the modest $328 hourly operating costs, which are about six times lower, and the generous 4,500-nautical-mile range. Maximum cruise speed is projected to reach more than 460 miles per hour."
"The reason its aircraft can do all this, says Otto Aviation, is down to laminar flow.
"Laminar flow is the minimum drag solution for aircraft surfaces, explains its website, and features smooth layers of airflow with little to no mixing of adjacent layers."
"With its aerodynamic airframe meaning it requires a lot less horsepower to achieve takeoff and cruise speeds, the Celera 500L is powered by the RED A03 engine. It has a Liquid cooled V12, twin 6-cylinder bank and, says Otto Aviation, offers best-in-class efficiency. It's certified to operate on Jet A1 and biodiesel."
UPDATE:
According to a patent granted to William Otto (US9669939B2, "Aircraft supplemental thrust device and method of operating the same") Celera 500L has a service ceiling of 19.8 km!
"Propulsion of the aircraft may be provided by a fixed-pitch eight blade composite blade propeller mounted at the rear of the fuselage on the centerline axis. The propeller airfoil sections and section incidence angles are configured to provide maximum efficiency at cruise at 50,000 ft. altitude and above. Propeller diameter is also optimized for the high altitude cruise environment and as a result essentially eliminates supersonic blade velocities during low altitude operation. The optimum propeller diameter is slightly smaller than maximum fuselage diameter which coincidentally reduces the probability of bird strike and other foreign object damage. ... The aircraft cabin may be approximately 74 inches high and include an approximately 78 inch width having a minimum 50 inch seat pitch. The aircraft has a service ceiling of approximately 65,000 feet, and a normal cruise speed of between approximately 460 to approximately 510 mph, with a specific fuel consumption of approximately 30 to approximately 42 mpg depending on cruise speed and altitude. Landing stall speed is approximately 70 mph, takeoff and landing speeds are approximately 90 mph, and runway requirements are approximately 3000 ft."
I have seen on Otto Aviation's site this text:
"The Celera 500L has a glide ratio of 22:1 (typical GA aircraft of similar size have a glide ratio of < 9:1). At an altitude of 30,000ft The Celera 500L can glide up to 125 miles with no engine power. This is roughly 3x better than the typical aircraft."
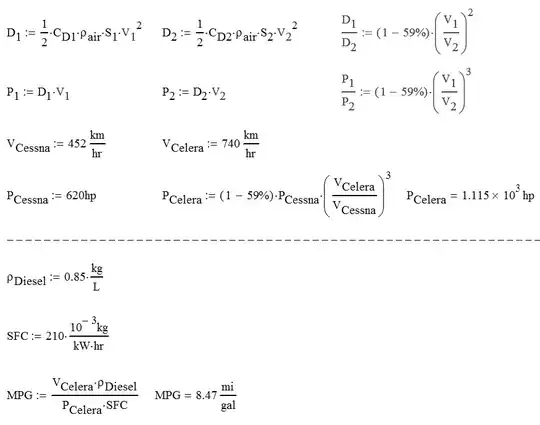
and I believed that the projected service ceiling of the plane is 9.144 km not somewhere between 15.2 km and 19.8 km. At such high altitudes the air density is between 0.2 and 0.1 kg/m^3 and in consequence Celera can, in theory, reach 740 km/h with 550 hp. The Grob Strato 2C, a German experimental high altitude research aircraft, powered by two turbocharged piston engines, reached a record altitude of 18552 m on 4 August 1995, with two 6 m in diameter propellers, using a total of 800 hp.
Question: Is this altitude of 65000 or at least 50000 feet achievable by Celera 500L?



