I have a chart where the thrust ($F$) and the thrust-specific fuel consumption (TSFC) are plotted against the aircraft flying speed, for several altitudes (i.e. sea level, 3000 meters and 11000 meters). This is for a generic turbojet.
I don't know the source of the image, I apologize for that.
At the left, we see that the thrust decreases with altitude. At the right, we observe that the TSFC actually decreases with altitude as well.
However, I think this is counter-intuitive. I understand that $F$ decreases with altitude, since density (and therefore mass flow rate) decreases when the airplane goes up.
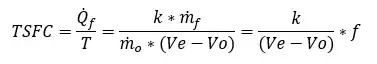
What I don't understand is that the TSFC, defined as: $$\text{TSFC}\equiv\dfrac{\text{fuel mass flow rate}}{F}$$ decreases with altitude. In other words, the higher we fly, the more thermodynamically-efficient the airplane is. How does that happen?
From a pure mathematical point of view, it doesn't make sense that TSFC decreases with altitude since, following the aforementioned formula, $F$ is decreasing, which leads me to think that the fuel mass flow rate diminishes with altitude faster than thrust.
In a nutshell: why does the TSFC decreases with the flying altitude, having the last equation into consideration?


