I have encountered several types of simple syrup when it comes to cocktails. Firstly there is the question of mass ratio vs volume ratio. Then what ratio to use. I don't use simple syrup that often and heard that a 2:1 mass ratio simple syrup could be stored longer, so I made that. Usually recipes use a 1:1 volume ratio or a 1:1 mass ratio I think? Anyway: I want to know if there are any other ratios used? (other than 2:1 and 1:1) For example 3:2. Is there any point in making a syrup stronger than 2:1 (will the sugar dissolve properly, is it practical to have such strong syrup, and will it last longer in storage)?
Some context (not neccecary for the answer, but can clarify why I am asking):
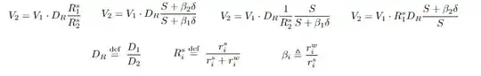
I wondered how you could substitute a 1:1 syrup with a 2:1 syrup and still have the same mass (g) of sugar in you cocktail (as to not make it too sweet). Since I enjoy playing around with math I set about to discover a formula for this (but with any ratios), and I did. More precicley I dicovered 4 formulas, depending on if the recipe syrup ratio is given in mass or volume and if the syrup substitute ratio is given in mass or volume. This formula only depends on the ratio of the syrups, the density of the syrups and the density of sugar (when you measure it by volume). Therefore I want to measure some simple syrup densities to correctly substitute simple syrup in recipes. Here are the four formulas if you wondered:
The delta (δ) is just the density of water: 1g/mL (to make the units match). These formulas calculate the transition from syrup 1 to syrup 2:
The formulas are for (in order from left to right): mass ratio -> mass ratio, volume ratio -> volume ratio, volume ratio -> mass ratio, mass ratio -> volume ratio. Meaning that if I want to substitute a 1:1 volume ratio syrup with my 2:1 mass ratio syrup, I use formula number 3 from the left to calculate how much 2:1 syrup (in mL) I should include to have the same amount of sugar as in the recipe.
I use an index of 1 to indicate the recipe syrup and an index of 2 to indicate the substitute syrup. Also: yes, I know this isn't really neccecary and you can just take about the sam amount. However, I enjoyed doing the math and thinking. Since I already have this I thought that maybe I should use it? To do this I need to measure the densities of different syrups, so the question is more or less: which syrups should I measure? I want to measure different syrups encountered in recipes, but I don't know of any other than 1:1 and 2:1, so I thought I'd ask here what ratios you have encountered in cocktail recipes.
My thoughts:
A 1:1 ratio syrup is 1/(1+1)=1/2=50% sugar (by volume or mass) and a 2:1 ratio syrup is 2/(2+1)=2/3≈67% sugar (by volume or mass). Since there is not that much difference between a 50% and 67% mix I can understand that you would just use the same amount without making too big of a difference. Also it probably doesn't make much sense to do a 3:2 syrup: 3/(3+2)=3/5=60% sugar, since this is very close to the 2:1 syrup.
I wonder if it would be any point to making a say 80% sugar syrup (4:1)? Or maybe a syrup with less than 50% sugar? However, I can not see how a syrup with less than 50% sugar could be useful other than for people who can consume sugar, but need to do so in small amounts. Then maybe a cocktail/mocktail with 20-30% sugar would be prefered instead?
After all of this I am tempted to make a recipe using a 3:2 syrup. This way you could probably use a 2:1 syrup instead just fine, but it would be funny to know that perfectionists eighter had to make a new kind of syrup just for this one cocktail or have to live with the fact that they didn't make the cocktail properly according to the recipe.
Sorry that this was so long and technical. Although the syrup itself is not related to alcohol, the context of the question is indeed related to it (cocktail recipes). Thus I hope this question can be accepted (also you do not have to read the context to answer the question).

