I noticed that there is no single "reward" convention in RL community and as a new RL learner this confuses me a lot.
For example, it is not clear to me if
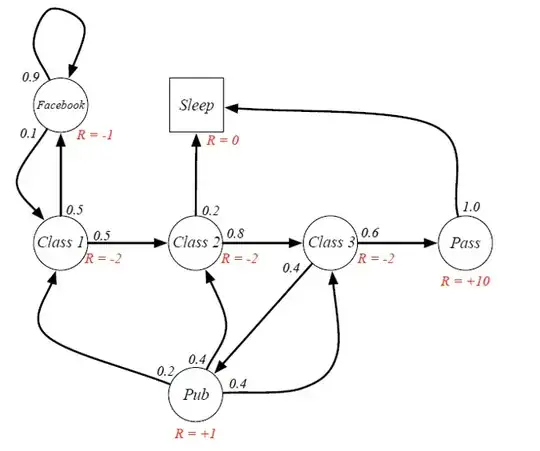
Case 1: reward is a state property (shown next to a state, see example 1)
Case 2: reward is a state transition property (shown on the transition arcs, see example 2).
It is not clear also how you defined "returns" in both cases.
Ex1:

