1

I am new in the field of Machine Learning so I wanted to start of by reading more about mathematics and history behind it.

I am currently reading, in my opinion, a very good and descriptive paper on Statistical Learning Theory - "Statistical Learning Theory: Models, Concepts, and Results". In section 5.5 Generalization bounds, it states that:

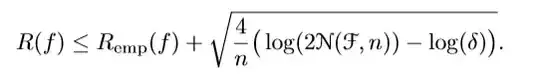
It is sometimes useful to rewrite (17) "the other way round". That is, instead of fixing $\epsilon$ and then computing the probability that the empirical risk deviates from the true risk by more than $\epsilon$, we specify the probability with which we want the bound to hold, and then get a statement which tells us how close we can expect the risk to be to the empirical risk. This can be achieved by setting the right-hand side of (17) equal to some $\delta > 0$, and then solving for $\epsilon$. As a result, we get the statement that with a probability at least $1−\delta$, any function $f \in F$ satisfies

enter image description here

Equation (17) is VC Symmetrization lemma to which we applied union bound and then Chernoff bound:

enter image description here

What I fail to understand is the part where we are rewriting (17) "the other way around". I fail to grasp intuitive understanding of relation between (17) and (18), as well as understanding generalization bounds in general.

Could anyone help me with understanding these concepts or at least provide me with additional resources (papers, blog posts, etc.) that can help?

nbro
  • 40,472
  • 12
  • 105
  • 192
  • 2
    Regarding the general idea of generalization bounds, generalization gap, etc., this answer I had provided several months ago could be useful. – nbro Apr 14 '20 at 19:49
  • @nbro Thank you! I really want to learn more about Generalization in DL and I think this will help a lot! If you have any more resources, please share. Once again, THANKS! – Stefan Radonjic Apr 16 '20 at 08:53

1 Answers1

2

Let $\varepsilon$ in (17) is equal to $\sqrt{\frac{4}{n}\left(\log{(2\mathsf{N}(\mathcal{F},n))}-\log{\delta}\right)}$. We have:

$$ P\left(\sup_{f\in\mathcal{F}}|R(f)-R_{emp}(f)| > \sqrt{\frac{4}{n}\left(\log{(2\mathcal{N}(\mathcal{F},n))}-\log{\delta}\right)}\right) \leqslant 2\mathcal{N}(\mathcal{F},n) e^{\frac{-n}{4}\left(\frac{4}{n}\left(\log{(2\mathcal{N}(\mathcal{F},n))}-\log{\delta}\right)\right)} = 2\mathcal{N}(\mathcal{F},n) e^{\log{\delta} - \log{(2\mathcal{N}(\mathcal{F},n))}} $$

As we know that $e^{\log{n}} = n$ (suppose that base of $\log$ here is $e$), we can write:

$$ P\left(\sup_{f\in\mathcal{F}}|R(f)-R_{emp}(f)| > \sqrt{\frac{4}{n}\left(\log{(2\mathcal{N}(\mathcal{F},n))}-\log{\delta}\right)}\right) \leqslant 2\mathcal{N}(\mathcal{F},n) \left(\frac{\delta}{2\mathcal{N}(\mathcal{F},n)}\right) $$

Hence:

$$ P\left(\sup_{f\in\mathcal{F}}|R(f)-R_{emp}(f)| > \sqrt{\frac{4}{n}\left(\log{(2\mathcal{N}(\mathcal{F},n))}-\log{\delta}\right)}\right) \leqslant \delta $$ As we know that if we have $P(x > a) \leqslant c$, we can conlude that $P( x<a) \geqslant 1-c$, we will have:

$$ P\left(\sup_{f\in\mathcal{F}}|R(f)-R_{emp}(f)| < \sqrt{\frac{4}{n}\left(\log{(2\mathcal{N}(\mathcal{F},n))}-\log{\delta}\right)}\right) \geqslant 1- \delta $$

Now, as this inequality is true for supremum of set $\mathcal{F}$ and $R(f) -R_{emp}(f) \leqslant \varepsilon$ is subset of $|R(f) -R_{emp}(f)| \leqslant \varepsilon$ (in terms of probability state space), we can say the following inequality is correct for any function $f$ with at least probability of $1-\delta$: $$ R(f) \leqslant R_{emp}(f) + \sqrt{\frac{4}{n}\left(\log{(2\mathcal{N}(\mathcal{F},n))}-\log{\delta}\right)} $$

OmG
  • 1,816
  • 11
  • 19
  • The only part that is not clear and obvious is why you say that $R(f) -R_{emp}(f) \geqslant 0$ is a subset of $|R(f) -R_{emp}(f)| \geqslant 0$, i.e. you're saying that something greater or equal to zero (a number) is a subset of something else that is greater or equal to zero. Maybe you can clarify this part. – nbro Apr 14 '20 at 20:12
  • 1
    @nbro thanks for your comment. – OmG Apr 14 '20 at 23:31