< Microprocessor Design

A hazard is an error in the operation of the microcontroller, caused by the simultaneous execution of multiple stages in a pipelined processor.

There are three types of hazards: Data hazards, control hazards, and structural hazards.

Data Hazards

Data hazards are caused by attempting to access data or modify data simultaneously. In the MIPS design, the result is written back to the register file at the same time that another instruction decode stage is reading the register file. There are three basic types of data hazards:

Read After Write (RAW)
In these hazards, the read process happens after the write process, although both processes happen in the same clock cycle. If the write process takes a long time, it may not complete by the time the read occurs, which will produce incorrect data.
Write After Read (WAR)
In a WAR hazard, the write from a previous instruction will not complete before the successive read instruction. This means that the next value read will be a previous value, not the correct current value.
Write After Write (WAW)
WAW hazards occur when two processes try to write to a data storage element at the same time. If this occurs in a single clock cycle, there will be no time in between to read the intermediate value. If the instructions execute out of order, the incorrect value may be left in the register.

Race Conditions

If data hazards are not explicitly accounted for, a race condition can arise where the proper execution of the processor is a matter of timing. If things occur in the proper times and the proper sequence, there might be no problems. However, In a race condition it is frequently likely that things will occur out of order, or at different time intervals, and this will cause a problem.

Control Hazards

Control hazards occur when a branch instruction is processed. While the branch instruction is traveling through the pipeline, the instruction fetch module will continue to read sequential instructions from the instruction memory. The problem is that because of the branch, the next instructions might execute out of order, which will cause problems.

Structural Hazards

A structural hazard occurs when two separate instructions attempt to access a particular hardware module at the same time.

Fixing Hazards

There are a number of ways to avoid or eliminate hazards.

Stall

A stall, or a "bubble" in the pipeline occurs when the control unit detects that a hazard will occur. When this happens, the control unit stops the instruction fetch mechanism and puts NOPs into the pipeline instead. In this way, the sensitive instructions will be forced to occur alone, without any other instructions being processed at the same time.

In this image we can see "bubbles" drawn where data hazards occur. A bubble signifies that the instruction has stalled in the pipeline until a previous instruction completes. Once the previous instruction has completed, the stalled instruction continues moving.

Notice in this image that the yellow instruction stops at the ID stage for 2 cycles, while the red instruction continues.

Forwarding

When a result from one instruction is to be used as the input to the ALU in the next instruction, we can use forwarding to move data directly from the ALU output into the ALU input of the next cycle, before that data has been written to the register. In this way, we can avoid the need for a stall in these situations, but at the expense of adding an additional forwarding unit to control this mechanism.

Register renaming

Instead of having fixed numbers for registers, registers can be renamed or renumbered. Consider the following ADD instruction:

add R1, R2, R1

We are adding the values in R1 and R2, and we are storing the result back in R1. What if the name "R1" pointed to two different physical storage areas, that is the value is read from one location, the "old R1", and is written to a new storage area, the "new R1".

Register renaming can be used to prevent hazards caused by out-of-order execution (OOOE).


Speculative execution

During a branch, it is frequently possible to "guess" about the outcome of the branch. By guessing about the destination, instructions can be executed speculatively. If the guess is wrong, the pipeline will need to be emptied, which takes the same amount of time as a stall. However, if the guess is right, no time is wasted and the processor continues operation as normal.

The process of guessing which way the branch will take is a complicated subject and is beyond the current scope of this book.

Branch delay

A branch delay is an instruction written in the assembly source code after the branch, that is designed to execute whether the branch is taken or not. If there are no instructions that can be executed without a dependency on the branch, then a NOP should be inserted instead. Some assemblers are capable of rearranging code in this fashion, although other assemblers that use this technique require the programmer to handle branch delays manually.

Branch Predication

In a branch predication scheme, all instructions, or most instructions in the ISA may be conditionally executed based on some condition. In other words, the instruction will be loaded from memory, decoded, and then the processor will determine whether or not to execute it. In the event of a branch, for instance, the instructions in the pipeline after the branch can be turned off if the branch went the other direction. Branch predication is very closely related to speculative execution.

Branch Prediction

Branch Prediction is the act of guessing about the direction a branch instruction will take. Typically, branch predictors base these decisions off register values, and past branch history. In a large loop, for instance, a particular program may branch back to the top of the loop many many times before the loop terminates. Consider this high-level pseudo code:

while(condition)
    do this
end

Which roughly translates to this assembly pseudo code:

top of loop:
compare condition and 0.
branch to end of loop if equal
do this
branch to top of loop
bottom of loop:

This loop will continue to repeat until the condition flag is 0. This code will likely loop many times before the one time that it exits. In a while structure like this, it takes the branch every time except for the last time, and it only doesn't take the branch once. It makes good sense to assume, therefore, that every branch that we come to will be taken, which can increase the accuracy of our speculative execution.

Example: Loop Optimization

In modern processors, branch prediction will frequently look at the history of recent branches to determine how to guess the outcome of a future branch. Consider the following loop structure with a nested conditional:

while(loop condition)
   if(branch condition)
      do this
   else
      do that
 end

If we know statistically that the branch condition will be false (0) 90% of the time, and that the loop condition will be true (1) nearly 100% of the time. We can decompose this into assembly pseudo code:

1) compare loop condition and 0
2) branch to end of loop if equal
3) compare branch condition and 0
4) branch to branch true if not equal
5) do that
6) branch to end of if
7) branch true
8) do this
9) end of if
10)branch to top of loop

If we look at this loop structure, we can see that the branch on line 10 is taken most of the time. We can also see that the branch on line 4 only occurs if the branch condition is 1. We know that the branch condition is true only 10% of the time, so this loop will have bad branch prediction. A better loop in this case would be:

while(loop condition)
   if(not branch condition)
      do this
   else
      do that
 end

so that the branch in the conditional is taken 90% of the time, so that the branch predictor will be more accurate.

A branch predictor typically acts like a counter. Every time a branch is taken, the counter is incremented, and every time a branch is not taken, the counter is decremented. Consider a 2-bit predictor. If the predictor is 0 or 1, the branch is not taken, but if the predictor is 2 or 3, the branch is taken.

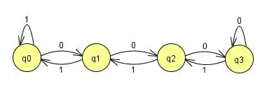
A 2-bit branch predictor with 4 stages.

We can treat a branch predictor like a finite-state-machine (FSM) like in the diagram above. This FSM has 4 stages, corresponding to the following "guesses":

  • q0:Strong Take
  • q1:Weak Take
  • q2:Weak Not Take
  • q3:Strong Not Take

The zeros in this diagram refer to a branch not being taken, and a 1 corresponds to a branch being taken. If many branches are taken, the state moves towards the right. If branches are not taken, the stage moves towards the left.

This article is issued from Wikibooks. The text is licensed under Creative Commons - Attribution - Sharealike. Additional terms may apply for the media files.