13

I am trying to solve Exercise 3 a) given here. The problem states:

Let $\mathcal{M}$ be an infinite $\sigma$-algebra. Prove that $\mathcal{M}$ contains an infinite sequence of nonempty, disjoint sets. (Hint: if $\mathcal{M}$ contains an infinite sequence of strictly nested sets, then we’re done, so assume that no such sequence exists. Next, use this assumption to find a nonempty set in $\mathcal{M}$ with no nonempty proper subsets in $\mathcal{M}$. Finally, show that this can be done infinitely many times.)

Here's my idea: Let's say $\mathcal{M}$ is $\sigma$-algebra on the set $X$. If $\mathcal{M}$ does not contain an infinite sequence of strictly nested sets, then given any $A\in\mathcal{M}$, every strict chain starting with $A$ must terminate after finite time: i.e. $A\subsetneq E_{1}\subsetneq E_{2}\subsetneq … \subsetneq E_{k}$ and there is no set $X\neq B\in\mathcal{M}$ such that $E_{k}\subsetneq B$. But then the complement $E_k^{c}$ has no nonempty proper subsets in $\mathcal{M}$. But I am having trouble showing that the process can repeated infinitely many times.

I have been stuck with this for the whole day, and it is driving me crazy! Thanks for the help!

Prism
  • 11,162

2 Answers2

7

Here is a hint: can you show that $\mathcal{M}_1 := \{Y \cap E_k\ | Y \in \mathcal{M}\}$ is an infinite $\sigma$-algebra (and a subset of $\mathcal{M}$) with the same property? Now repeat this process, obtaining $\mathcal{M}_n$ for each $n\in \mathbb{N}$ and finding a set $A_n$ disjoint from each previous set $A_i$ ($i<n$) at every step in the process.

Prism
  • 11,162
universalset
  • 8,269
  • 20
  • 33
  • 1
    Is $\mathcal{M}_1$ a $\sigma$-algebra though? It doesn't seem to contain $X$ itself. Or maybe it is a $\sigma$-algebra on another set? – Prism Dec 16 '13 at 00:57
  • 2
    It will be a $\sigma$-algebra on $E_k$. – universalset Dec 16 '13 at 01:00
  • Ah that makes sense :) Thank you! So I can see that $\mathcal{M}_1$ will be a $\sigma$-algebra on $E_k$. I have to think why it is infinite though. But once it is infinite, I can see that the process you describe will lead to infinitely many desired sets. +1! – Prism Dec 16 '13 at 01:05
  • If $Y\cap E_k=\emptyset$, then $Y\subseteq E_{k}^{c}$, but we know $E_{k}^{c}$ has no nonempty proper subsets. So $Y=\emptyset$. Does this show $\mathcal{M}_{1}$ infinite? – Prism Dec 16 '13 at 01:19
  • Basically. Indeed, if $Y \neq X$, then $Y \cap E_k = Y$ or $Y = (Y\cap E_k) \cup E_k^c$. So the map $Y \rightarrow Y \cap E_k$ is $2$ to $1$, and so its range must be infinite. – universalset Dec 16 '13 at 01:34
  • How does the map being 2 to 1 make the range infinite? – Abel Jul 15 '22 at 01:19
5

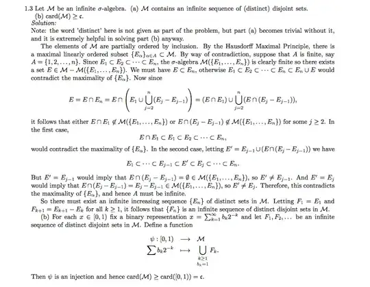
I found a very interesting answer to the question using Hausdorff Maximal Principle here in page 2. Let me take a screenshot for now. I will come back and latexify this when I have the time. enter image description here

Prism
  • 11,162